登录
|
注册
|
溯源查询
网站首页
农检新闻
法规标准
检测信息
认证基地
供求信息
农检科技
互动交流
工作剪影
企业信用等级
政府监管入口
企业入口
承诺达标合格证系统
质量安全网格化监管
农资监管
魔芋追溯监管系统
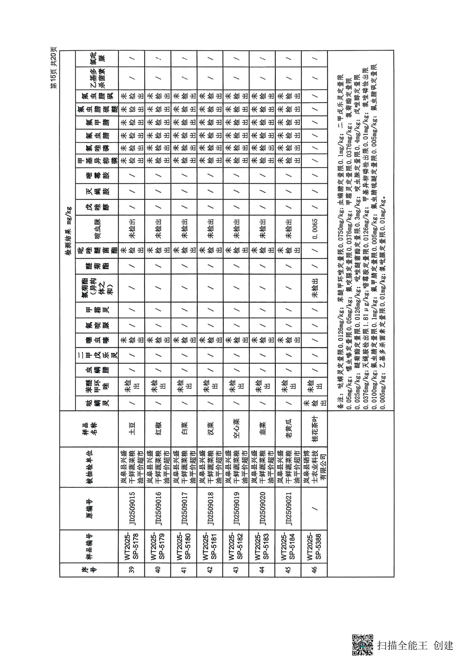
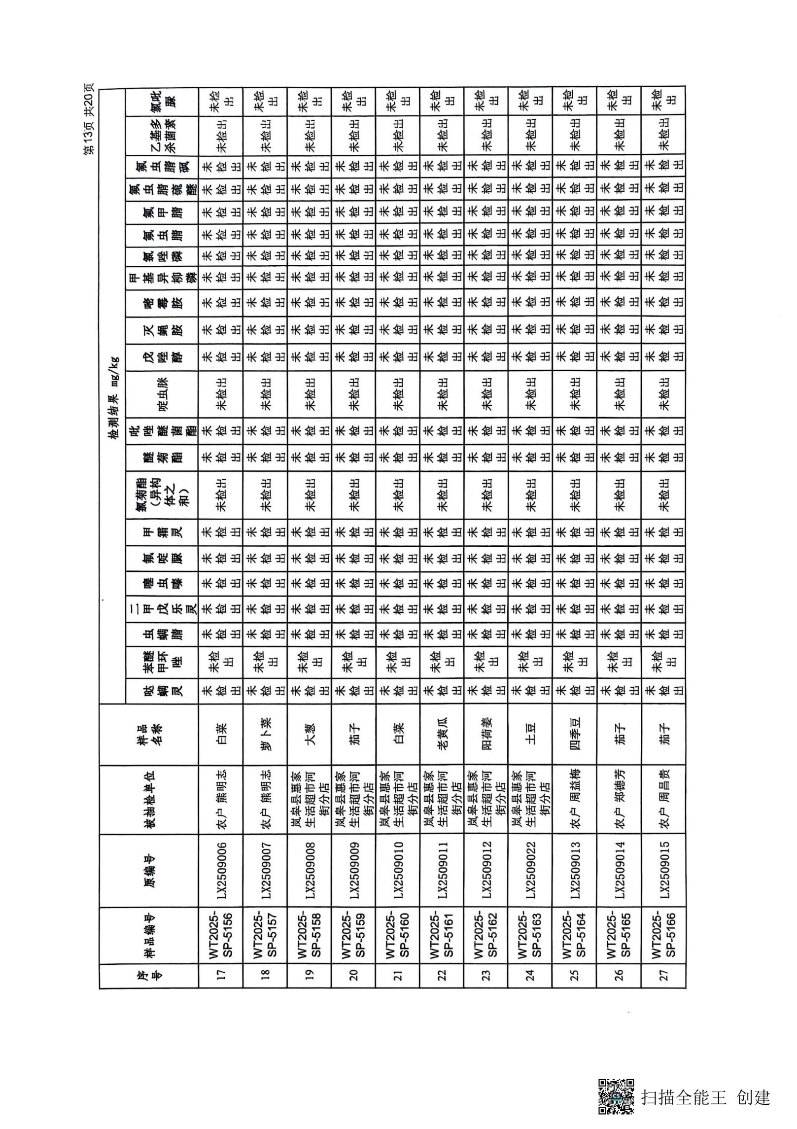
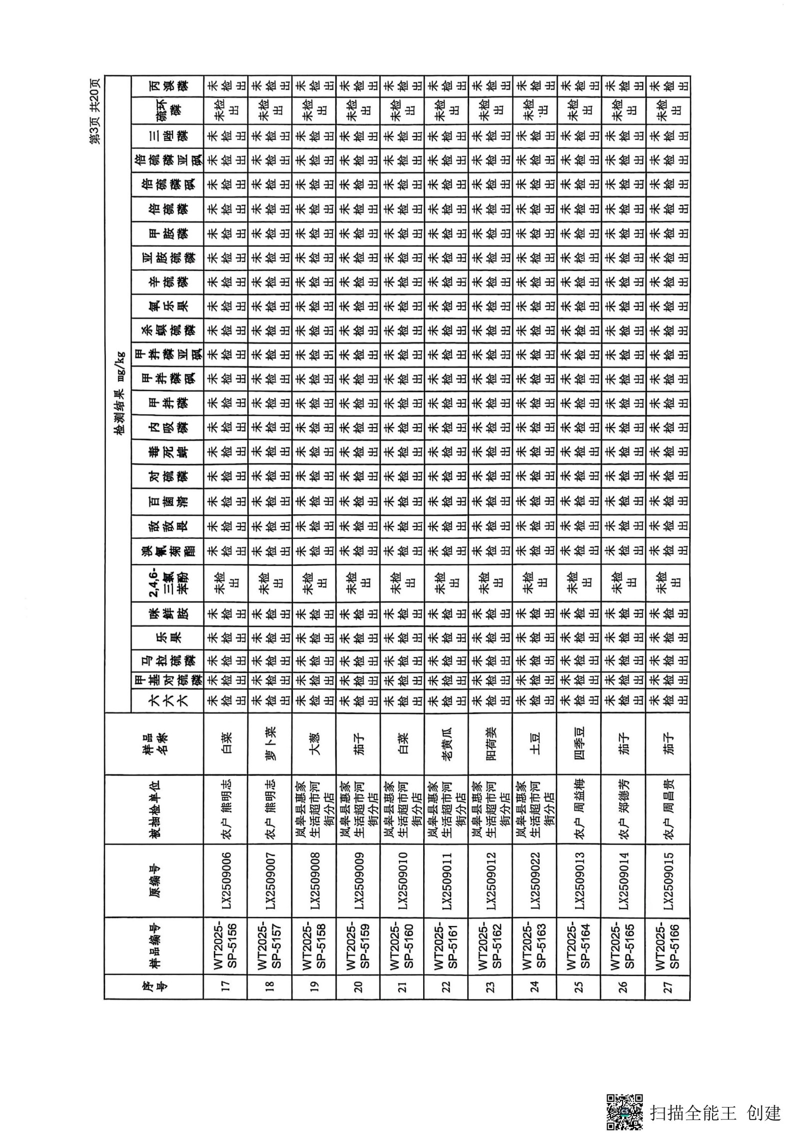
2025年第三季度岚皋县种植产品质量安全监测结果汇总表
2025-12-10
上一篇:
2025年第二季度岚皋县农产品质量安全监测结果汇总-畜禽业
上一篇:无